強調 納米臭氧/ H2O2工藝在pH 10和25C下對TMAH的去除效果好。 使用納米臭氧時,氣體傳質和臭氧氣體的半衰期增加了 納米臭氧/ H2O2反應產生了可除去TMAH的OH自由基。 在90分鐘內,TMAH中80%
閱讀量:21832020
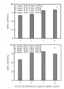
DON 是城市污水廠出水總氮的重要組成部分,約占40%~85%.同時,DON 在污水處理工藝中卻很難被去除[1].據報道,污水處理廠出水中DON 濃度可達0.5~3.0mg/L.城市污水處理廠出水普遍要加氯消毒,污水
閱讀量:10212020
臭氧催化氧化對水中氯苯甲酸去除率研究 城市污水處理廠剩余污泥含碳量高且富含Fe、Mn、Cu、Zn 等金屬,通過一定程度的活化熱解處理,可將其轉化為污泥基活性炭(SAC).研究表明,SAC 不僅
閱讀量:9492020
研究臭氧對色度物質的去除效果 隨著經濟的快速發展,人民的生活水平日益提高,水資源匱乏的問題也日益凸顯,再生水的回用成為解決水資源短缺的一個有效途徑。其中,色度是評價
閱讀量:10142020
臭氧/Hp--環糊精包絡物對水中藥品和個人護理用品的去除效果 藥品及個人護理用品( pharmaceutical andpersonal care products,PPCPs) ,是一類外源性化學物質,通過人或動物代謝產物及個人護理用
閱讀量:9322020
微納米氣泡在強化臭氧化中的應用 1 微納米氣泡在水體增氧中的應用 污染物直接排放到附近的河流和湖泊中,微生物在分解污染物的過程中迅速消耗水體中的溶解氧,導致含氧量迅速下
閱讀量:12782020
臭氧催化氧化與芬頓法優劣勢對比 問:芬頓氧化和臭氧氧化哪個更有前景?大家發表下看法 討論: 1:效果是芬頓氧化的好.但臭氧操作方便.綜合考慮還是Fenton應用廣泛點. 2:污水芬頓
閱讀量:49152020
低溫下MgO催化臭氧化降解氨氮效果研究 氨氮污染是水處理中普遍存在的問題.自然水體中的氨氮主要來源于石油化工、有色金屬化學冶金、化肥、味精、肉類加工和養殖等工農業部門排
閱讀量:15452020
電催化+ 臭氧氧化協同處理印染廢水中COD 的降解效果研究 蒲柳,唐俊,陳武,竇麗花,胡琴,周世平(1 . 國家城市污水處理及資源化工程技術研究中心,四川 綿陽 621010 ;2 . 四川省水
閱讀量:8762020
研究UV254nm+185nm 光照對甲苯光降解效率的影響 張春洋,馬永亮*(清華大學環境科學與工程系,環境模擬與污染控制國家重點實驗室,北京 100084) 甲苯是一種導致大氣光化學污染以及對人體健
閱讀量:13912020
用臭氧高級氧化處理金剛烷胺制藥廢水 金剛烷胺是近年來廣泛使用的抗流感藥物,在工業生產過程中主要產生于溴化廢水和胺化廢水,是高濃度有機廢水,具有成分復雜、高COD、高無機鹽、
閱讀量:6972020
ZnOOH催化臭氧氧化去除水中SD效能實驗 摘要:以實驗室制備的羥基化鋅(ZnOOH)為催化劑,研究了其催化臭氧化去除水中痕量磺胺嘧啶(SD)的效能,通過研究叔丁醇對催化效果的影響,推斷了催化
閱讀量:9782020
臭氧高級催化氧化+微氣泡降解有毒有害污染物研究 近年來,高級氧化技術(AOPs)在煤化工廢水深度處理中逐漸受到關注,包括Fenton 氧化和臭氧催化氧化,以破壞和去除廢水中的難降解有毒有
閱讀量:10692020
Copyright ? m.cva-tech.com 北京同林臭氧實驗網 版權所有 非商用版本 備案號:京ICP備17038069-1號